Just as the one- and two- sample univariate \(t\)-test is the gateway drug for understanding analysis of variance, so too Hotelling’s \(T^2\) test provides an entry point to multivariate analysis of variance. This simple case provides a simple springboard to understanding the collection of methods I call the HE plot framework for visualizing effects in multivariate linear models, which are a main focus of this book.

The essential idea (Section 10.1) is that Hotelling’s \(T^2\) provides a test of the difference in means between two groups on a collection of variables, \(\mathbf{x} = x_1, x_2, \dots x_p\) simultaneously, rather than one by one. This has the advantages that it:

After describing it’s features, I use an example of a two-group \(T^2\) test to illustrate the basic ideas behind multivariate tests and hypothesis error plots in Section 10.3. Then, we’ll dip our toes into the visual ideas behind discriminant analysis (Section 10.4) and how this compares with biplots based on PCA (Section 10.5.1).

Packages

In this chapter I use the following packages. Load them now.

10.1 \(T^2\) as a generalized \(t\)-test

Hotelling’s \(T^2\) (Hotelling, 1931) is an analog of the square of a univariate \(t\) statistic, extended to the case of two or more response variables tested together.

Consider the basic one-sample \(t\)-test, where we wish to test the hypothesis that the mean \(\bar{x}\) of a set of \(N\) measures on a test of basic math, with standard deviation \(s\) does not differ from an assumed mean \(\mu_0 = 150\) for a population. The \(t\) statistic for testing \(\mathcal{H}_0 : \mu = \mu_0\) against the two-sided alternative, \(\mathcal{H}_0 : \mu \ne \mu_0\) is

\[ t = \frac{(\bar{x} - \mu_0)}{s / \sqrt{N}} = \frac{(\bar{x} - \mu_0)\sqrt{N}}{s} \; . \]

Squaring this gives:

\[ t^2 = \frac{N (\bar{x} - \mu_0)^2}{s^2} = N (\bar{x} - \mu_0)(s^2)^{-1} (\bar{x} - \mu_0) \tag{10.1}\]

Now consider we also have measures on a test of solving word problems for the same sample. Then, a hypothesis test for the means on basic math (BM) and word problems (WP) is the test of the means of these two variables jointly equal some specified values, say, \((\mu_{0,BM}=150,\; \mu_{0,WP} =100)\):

\[ \mathcal{H}_0 : \boldsymbol{\mu} = \boldsymbol{\mu_0} = \begin{pmatrix} \mu_{0, \text{BM}} \\ \mu_{0,\text{WP}} \end{pmatrix} = \begin{pmatrix} 150 \\ 100 \end{pmatrix} \]

Hotelling’s \(T^2\) is then the analog of \(t^2\), with the variance-covariance matrix \(\mathbf{S}\) of the scores on (BM, WP) replacing the variance of a single score.

\[ \begin{aligned} T^2 &= N (\bar{\mathbf{x}} - \boldsymbol{\mu}_0)^\mathsf{T} \; \mathbf{S}^{-1} \; (\bar{\mathbf{x}} - \boldsymbol{\mu}_0) \\ &= N D^2_M (\bar{\mathbf{x}}, \boldsymbol{\mu}_0) \end{aligned} \tag{10.2}\]

This is nothing more than the squared Mahalanobis \(D^2_M\) distance between the sample mean vector \((\bar{x}_\text{BM}, \bar{x}_\text{WP})^\mathsf{T}\) and the hypothesized means \(\boldsymbol{\mu}_0\), in the metric of \(\mathbf{S}\), as shown in Figure 10.1.

Figure 10.1: Hotelling’s T^2 statistic as the squared distance between the sample means and hypothesized means relative to the variance-covariance matrix. Source: Author

10.2 \(T^2\) properties

Aside from it’s elegant geometric interpretation, Hotelling’s \(T^2\) has simple properties that aid in understanding the extension to more complex multivariate tests.

  • Maximum \(t^2\) : Consider constructing a new variable \(w\) as a linear combination of the scores in a matrix \(\mathbf{X} = [ \mathbf{x_1}, \mathbf{x_2}, \dots, \mathbf{x_p}]\) with weights \(\mathbf{a}\),

\[ w = a_1 \mathbf{x_1} + a_2 \mathbf{x_2} + \dots + a_p \mathbf{x_p} = \mathbf{X} \mathbf{a} \]

Hotelling’s \(T^2\) is then the maximum value of a univariate \(t^2 (\mathbf{a})\) over all possible choices of the weights in \(\mathbf{a}\). In this way, Hotellings test reduces a multivariate problem to a univariate one. The weights in \(\mathbf{a}\) show how the variables contribute to significance: larger absolute values \(\vert a_j \vert\) variables have greater impact.

  • Eigenvalue : Hotelling showed that \(T^2\) is the one non-zero eigenvalue (latent root) \(\lambda\) of the matrix \(\mathbf{Q}_H = N (\bar{\mathbf{x}} - \boldsymbol{\mu}_0)^\mathsf{T} (\bar{\mathbf{x}} - \boldsymbol{\mu}_0)\) relative to \(\mathbf{Q}_E = \mathbf{S}\). The “relative to” means that the eigenvalue problem is expressed as finding \(\lambda\) and \(\mathbf{a}\) that solve the equation,

\[ (\mathbf{Q}_H - \lambda \mathbf{Q}_E) \; \mathbf{a} \; = \; 0 \:\: . \tag{10.3}\]

In more complex MANOVA problems, there are more than one non-zero latent roots, \(\lambda_1, \lambda_2, \dots \lambda_s\), and test statistics (Wilks’ \(\Lambda\), Pillai and Hotelling-Lawley trace criteria, Roy’s maximum root test) are functions of these as shown in Section 11.3.

  • Eigenvector : The corresponding eigenvector is \(\mathbf{a} = \mathbf{S}^{-1} (\bar{\mathbf{x}} - \boldsymbol{\mu}_0)\). These are the (raw) discriminant coefficients, giving the relative contribution of each variable to \(T^2\).

  • Critical values : For a single response, the square of a \(t\) statistic with \(N-1\) degrees of freedom is an \(F (1, N-1)\) statistic. But we chose \(\mathbf{a}\) to give the maximum \(t^2 (\mathbf{a})\); this can be taken into account with a transformation of \(T^2\) to give an exact \(F\) test with the correct sampling distribution:1

\[ F^* = \frac{N - p}{p (N-1)} T^2 \; \sim \; F (p, N - p) \:\: . \tag{10.4}\]

  • Invariance under linear transformation : Just as a univariate \(t\)-test is unchanged if we apply a linear transformation to the variable, \(x \rightarrow a x + b\), so too \(T^2\) is invariant under all linear (affine) transformations, multiplying \(\mathbf{x}\) by a matrix \(\mathbf{A}\) and adding a vector \(\mathbf{b}\),

\[ \mathbf{x}_{p \times 1} \rightarrow \mathbf{A}_{p \times p} \; \mathbf{x} + \mathbf{b}_{p \times 1} \:\: . \]

So, with the Penguins data, you would get the same results if you convert flipper lengths, bill length and depth, from millimeters to centimeters or inches. The same is true for all MANOVA tests.

  • Two-sample tests : With minor variations in notation, everything above applies to the more usual test of equality of multivariate means in a two sample test of \(\mathcal{H}_0 : \boldsymbol{\mu}_1 = \boldsymbol{\mu}_2\).

\[ T^2 = N (\bar{\mathbf{x}}_1 - \bar{\mathbf{x}}_2)^\mathsf{T} \; \mathbf{S}_p^{-1} \; (\bar{\mathbf{x}}_1 - \bar{\mathbf{x}}_2) \; , \tag{10.5}\]

where \(\mathbf{S}_p\) is the pooled within-sample variance covariance matrix.

10.2.1 Example: Mathscore data

As a running example, I’ll use the data set heplots::mathscore, which gives (fictitious) scores on a test of basic math skills (BM) and solving word problems (WP) for two groups of \(N=6\) students in an algebra course. Each group was taught by a different instructors, and the questions are: (a) Do the groups differ on both variables, considered jointly? (b) If so, how do they differ?

The null hypothesis is that the means are equal for both variables, \(\mathcal{H}_0: \mu_{\text{BM}} = \mu_{\text{WP}}\), or, equivalently, that the difference between means (a contrast!) is zero: \(\mathcal{H}_0: \mu_{\text{BM}} - \mu_{\text{WP}} = \mathbf{0}\).

data(mathscore, package = "heplots")
str(mathscore)
# 'data.frame': 12 obs. of  3 variables:
#  $ group: Factor w/ 2 levels "1","2": 1 1 1 1 1 1 2 2 2 2 ...
#  $ BM   : int  190 170 180 200 150 180 160 190 150 160 ...
#  $ WP   : int  90 80 80 120 60 70 120 150 90 130 ...

You can carry out the test that the means for both variables are jointly equal across groups using either Hotelling::hotelling.test() (Curran & Hersh, 2021) or car::Anova(), but the latter is more generally useful because it applies to any multivariate linear model.

hotelling.test(cbind(BM, WP) ~ group, data=mathscore) |> print()
# Test stat:  64.174 
# Numerator df:  2 
# Denominator df:  9 
# P-value:  0.0001213

math.mod <- lm(cbind(BM, WP) ~ group, data=mathscore)
Anova(math.mod)
# 
# Type II MANOVA Tests: Pillai test statistic
#       Df test stat approx F num Df den Df  Pr(>F)    
# group  1     0.865     28.9      2      9 0.00012 ***
# ---
# Signif. codes:  0 '***' 0.001 '**' 0.01 '*' 0.05 '.' 0.1 ' ' 1

What’s wrong with just doing the two \(t\)-tests (or equivalent \(F\)-test with lm())? Let’s see.

Anova(mod1 <- lm(BM ~ group, data=mathscore))
# Anova Table (Type II tests)
# 
# Response: BM
#           Sum Sq Df F value Pr(>F)  
# group       1302  1    4.24  0.066 .
# Residuals   3071 10                 
# ---
# Signif. codes:  0 '***' 0.001 '**' 0.01 '*' 0.05 '.' 0.1 ' ' 1

Anova(mod2 <- lm(WP ~ group, data=mathscore))
# Anova Table (Type II tests)
# 
# Response: WP
#           Sum Sq Df F value Pr(>F)   
# group       4408  1    10.4  0.009 **
# Residuals   4217 10                  
# ---
# Signif. codes:  0 '***' 0.001 '**' 0.01 '*' 0.05 '.' 0.1 ' ' 1

From this, we might conclude that the two groups do not differ significantly on Basic Math but strongly differ on Word problems. But this interpretation would be wrong! The two univariate tests do not take the correlation among the mean differences into account. In this case, the means are negatively related across the groups, which heightens the significance test, as we will shortly see (Figure 10.4).

If you want to just extract the \(t\)-tests, here’s a handy trick using broom::tidy.mlm(), which summarizes the test statistics for each response and each term in a MLM. The mean difference shown below is that for group 2 - group 1.

tidy(math.mod) |>
  filter(term != "(Intercept)") |>
  select(-term) |>
  rename(Mean_diff = estimate,
         t = statistic) |>
  mutate(signif = noquote(gtools::stars.pval(p.value)))
# # A tibble: 2 × 6
#   response Mean_diff std.error     t p.value signif   
#   <chr>        <dbl>     <dbl> <dbl>   <dbl> <noquote>
# 1 BM           -20.8      10.1 -2.06 0.0665  .        
# 2 WP            38.3      11.9  3.23 0.00897 **

To see the differences between the groups on both variables together, we draw their data (68%) ellipses, using heplots::covEllipses(). (Setting pooled=FALSE here omits drawing the the ellipse for the pooled covariance matrix \(\mathbf{S}_p\).)

colors <- c("darkgreen", "blue")
covEllipses(mathscore[,c("BM", "WP")], mathscore$group,
            pooled = FALSE, 
            col = colors,
            fill = TRUE, 
            fill.alpha = 0.05,
            cex = 2, cex.lab = 1.5,
            asp = 1,
            xlab="Basic math", ylab="Word problems")
# plot points
pch <- ifelse(mathscore$group==1, 15, 16)
col <- ifelse(mathscore$group==1, colors[1], colors[2])
points(mathscore[,2:3], pch=pch, col=col, cex=1.25)
Figure 10.2: Data ellipses for the mathscore data, enclosing approximately 68% of the observations in each group.

In Figure 10.2 you can see that:

  • Group 1 > Group 2 on Basic Math, but worse on Word Problems
  • Group 2 > Group 1 on Word Problems, but worse on Basic Math
  • Within each group, those who do better on Basic Math also do better on Word Problems

We can also see why the univariate test, at least for Basic math is non-significant: the scores for the two groups overlap considerably on the horizontal axis. They are slightly better separated along the vertical axis for word problems. The plot also reveals why Hotelling’s \(T^2\) reveals such a strongly significant result: the two groups are very widely separated along an approximately 45\(^o\) line between them.

A relatively simple interpretation is that the groups don’t really differ in overall math ability, but perhaps the instructor in Group 1 put more focus on basic math skills, while the instructor for Group 2 placed greater emphasis on solving word problems.

In Hotelling’s \(T^2\), the “size” of the difference between the means (labeled “1” and “2”) is assessed relative to the pooled within-group covariance matrix \(\mathbf{S}_p\), which is just a size-weighted average of the two within-sample matrices, \(\mathbf{S}_1\) and \(\mathbf{S}_2\),

\[ \mathbf{S}_p = [ (n_1 - 1) \mathbf{S}_1 + (n_2 - 1) \mathbf{S}_2 ] / (n_1 + n_2 - 2) \:\: . \]

Visually, imagine sliding the the separate data ellipses to the grand mean, \((\bar{x}_{\text{BM}}, \bar{x}_{\text{WP}})\) and finding their combined data ellipse. This is just the data ellipse of the sample of deviations of the scores from their group means, or that of the residuals from the model lm(cbind(BM, WP) ~ group, data=mathscore)

To see this, we plot \(\mathbf{S}_1\), \(\mathbf{S}_2\) and \(\mathbf{S}_p\) together,

covEllipses(mathscore[,c("BM", "WP")], mathscore$group,
            col = c(colors, "red"),
            fill = c(FALSE, FALSE, TRUE), 
            fill.alpha = 0.3,
            cex = 2, cex.lab = 1.5,
            asp = 1,
            xlab="Basic math", ylab="Word problems")
Figure 10.3: Data ellipses and the pooled covariance matrix mathscore data.

One of the assumptions of the \(T^2\) test (and of MANOVA) is that the within-group variance covariance matrices, \(\mathbf{S}_1\) and \(\mathbf{S}_2\), are the same. In Figure 10.3, you can see how the shapes of \(\mathbf{S}_1\) and \(\mathbf{S}_2\) are very similar, differing in that the variance of word Problems is slightly greater for group 2. In Chapter 13 we take of the topic of visualizing tests of this assumption, based on Box’s \(M\)-test.

10.3 HE plot and discriminant axis

As we describe in detail in Chapter 12, all the information relevant to the \(T^2\) test and MANOVA can be captured in the remarkably simple Hypothesis Error plot, which shows the relative size of two data ellipses,

  • \(\mathbf{H}\): the data ellipse of the fitted values, which are just the group means on the two variables, \(\bar{\mathbf{x}}\), corresponding to \(\mathbf{Q}_H\) in Equation 10.3. In case of \(T^2\), the \(\mathbf{H}\) matrix is of rank 1, so the “ellipse” plots as a line.
# calculate H directly
fit <- fitted(math.mod)
xbar <- colMeans(mathscore[,2:3])
N <- nrow(mathscore)
crossprod(fit) - N * outer(xbar, xbar)
#       BM    WP
# BM  1302 -2396
# WP -2396  4408

# same as: SSP for group effect from Anova
math.aov <- Anova(math.mod)
(H <- math.aov$SSP)
# $group
#       BM    WP
# BM  1302 -2396
# WP -2396  4408
  • \(\mathbf{E}\): the data ellipse of the residuals, the deviations of the scores from the group means, \(\mathbf{x} - \bar{\mathbf{x}}\), corresponding to \(\mathbf{Q}_E\).
# calculate E directly
resids <- residuals(math.mod)
crossprod(resids)
#      BM   WP
# BM 3071 2808
# WP 2808 4217

# same as: SSPE from Anova
(E <- math.aov$SSPE)
#      BM   WP
# BM 3071 2808
# WP 2808 4217

10.3.1 The heplot() function

The function heplots::heplot() takes the model object, extracts the \(\mathbf{H}\) and \(\mathbf{E}\) matrices (from summary(Anova(math.mod))) and plots them as their data ellipses. There are many options to control the details. See help(heplot).

heplot(math.mod, 
       fill=TRUE, lwd = 3,
       asp = 1,
       cex=2, cex.lab=1.8,
       xlab="Basic math", ylab="Word problems")
Figure 10.4: Hypothesis error plot of the mathscore data. The line through the group means is the H ellipse, which plots as a line here. The red ellipse labeled ‘Error’ represents the pooled within-group covariance matrix.

But the HE plot offers more:

  • A visual test of significance: the \(\mathbf{H}\) ellipse is scaled so that it projects anywhere outside the \(\mathbf{E}\) ellipse, if and only if the test is significant at a given \(\alpha\) level (\(\alpha = 0.05\) by default)

  • The \(\mathbf{H}\) ellipse, which appears as a line, goes through the means of the two groups. This is also the discriminant axis, the direction in the space of the variables which maximally discriminates between the groups. That is, if we project the data points onto this line, we get the linear combination \(w\) which has the maximum possible univariate \(t^2\).

10.3.2 HE plot, data ellipses and discriminant axis

You can see how the HE plot relates to the plots of the separate data ellipses by overlaying them in a single figure. In Figure 10.5 below I also plot the scores on the discriminant axis, by using this small function project_on() to find the orthogonal projection of a point \(\mathbf{a}\) on the line joining two points, \(\mathbf{p}_1\) and \(\mathbf{p}_2\), which in math is \(\mathbf{p}_1 + \frac{\mathbf{d}^\mathsf{T} (\mathbf{a} - \mathbf{p}_1)} {\mathbf{d}^\mathsf{T} \mathbf{d}}\), letting \(\mathbf{d} = \mathbf{p}_1 - \mathbf{p}_2\).

dot <- function(x, y) sum(x*y)       # dot product of two vectors
project_on <- function(a, p1, p2) {
  a <- as.numeric(a)
  p1 <- as.numeric(p1)
  p2 <- as.numeric(p2)
  t <- dot(p2-p1, a-p1) / dot(p2-p1, p2-p1)
  C <- p1 + t*(p2-p1)
  C
}

Then, I run the same code as before (for Figure 10.3) to plot the data ellipses, and follow this with a call to heplot() using the option add=TRUE which adds to an existing plot. Following this, I find the group means and draw lines projecting the points on the line between them.

covEllipses(mathscore[,c("BM", "WP")], mathscore$group,
            pooled=FALSE, 
            col = colors,
            cex=2, cex.lab=1.5,
            asp=1, 
            xlab="Basic math", ylab="Word problems"
            )
pch <- ifelse(mathscore$group==1, 15, 16)
col <- ifelse(mathscore$group==1, "red", "blue")
points(mathscore[,2:3], pch=pch, col=col, cex=1.25)

# overlay with HEplot (add = TRUE)
heplot(math.mod, 
       fill=TRUE, 
       cex=2, cex.lab=1.8, 
       fill.alpha=0.2, lwd=c(1,3),
       add = TRUE, 
       error.ellipse=TRUE)

# find group means
means <- mathscore |>
  group_by(group) |>
  summarize(BM = mean(BM), WP = mean(WP))

for(i in 1:nrow(mathscore)) {
  gp <- mathscore$group[i]
  pt <- project_on( mathscore[i, 2:3], means[1, 2:3], means[2, 2:3]) 
  segments(mathscore[i, "BM"], mathscore[i, "WP"], pt[1], pt[2], lwd = 1.2)
}
Figure 10.5: HE plot overlaid on top of the within-group data ellipses, with lines showing the projection of each point on the line joining the means, which is the discriminant axis.

10.4 Discriminant analysis

Discriminant analysis for two-group designs or for one-way MANOVA essentially turns the problem around: Instead of asking whether the mean vectors for two or more groups are equal, discriminant analysis tries to find the linear combination \(w\) of the response variables that has the greatest separation among the groups, allowing cases to be best classified.2

For the mathscore data, you can perform the discriminant analysis as follows, using the MASS function lda():

(math.lda <- MASS::lda(group ~ ., data=mathscore))
# Call:
# lda(group ~ ., data = mathscore)
# 
# Prior probabilities of groups:
#   1   2 
# 0.5 0.5 
# 
# Group means:
#    BM    WP
# 1 178  83.3
# 2 158 121.7
# 
# Coefficients of linear discriminants:
#        LD1
# BM -0.0835
# WP  0.0753

The coefficients give \(w = -0.084 \;\text{BM} + 0.075 \;\text{WP}\). This is exactly the direction given by the line for the \(\mathbf{H}\) ellipse in Figure 10.5.

To round this out, we can calculate the discriminant scores by multiplying the matrix \(\mathbf{X}\) by the vector \(\mathbf{a} = \mathbf{S}^{-1} (\bar{\mathbf{x}}_1 - \bar{\mathbf{x}}_2)\) of the discriminant weights, given by the scaling component of the result of lda(). These were shown in Figure 10.5 as the projections of the data points on the line joining the group means,

math.lda$scaling
#        LD1
# BM -0.0835
# WP  0.0753

LD1_scores <- as.matrix(mathscore[, 2:3]) %*% math.lda$scaling
scores <- cbind(group = mathscore$group,
                LD1 = LD1_scores) |>
  as.data.frame()
scores |>
  group_by(group) |>
  slice(1:3)
# # A tibble: 6 × 2
# # Groups:   group [2]
#   group   LD1
#   <dbl> <dbl>
# 1     1 -9.09
# 2     1 -8.17
# 3     1 -9.01
# 4     2 -4.33
# 5     2 -4.58
# 6     2 -5.75

Then a \(t\)-test on these scores gives the same value as Hotelling’s \(T\); it is accessed via the statistic component of t.test()

t <- t.test(LD1 ~ group, data=scores)$statistic
c(t, T2 = t^2)
#     t  T2.t 
# -8.01 64.17

Finally, it is instructive to compare violin plots for the three measures, BM, WP and LD1. To do this with ggplot2 requires reshaping the data from wide to long format so the plots can be faceted.

scores <- mathscore |>
  bind_cols(LD1 = scores[, "LD1"]) 

scores |>
  tidyr::gather(key = "measure", value ="Score", BM:LD1) |>
  mutate(measure = factor(measure, levels = c("BM", "WP", "LD1"))) |>
  ggplot(aes(x = group, y = Score, color = group, fill = group)) +
    geom_violin(alpha = 0.2) +
    geom_jitter(width = .2, size = 2) +
    facet_wrap( ~ measure, scales = "free", labeller = label_both) +
    scale_fill_manual(values = c("darkgreen", "blue")) +
    scale_color_manual(values = c("darkgreen", "blue")) +
    theme_bw(base_size = 14) +
    theme(legend.position = "none")
Figure 10.6: Violin plots comparing group 1 and 2 for the two observed measures and the linear discriminant score.

You can readily see how well the groups are separated on the discriminant axes, relative to the two individual variables—the groups are much further apart in on the discriminant axis.

10.5 More variables

The mathscore data gave a simple example with two outcomes to explain the essential ideas behind Hotelling’s \(T^2\) and multivariate tests. Multivariate methods become increasingly useful as the number of response variables increases because it is harder to show them all together and see how they relate to differences between groups.

Example 10.1 Real and fake banknotes

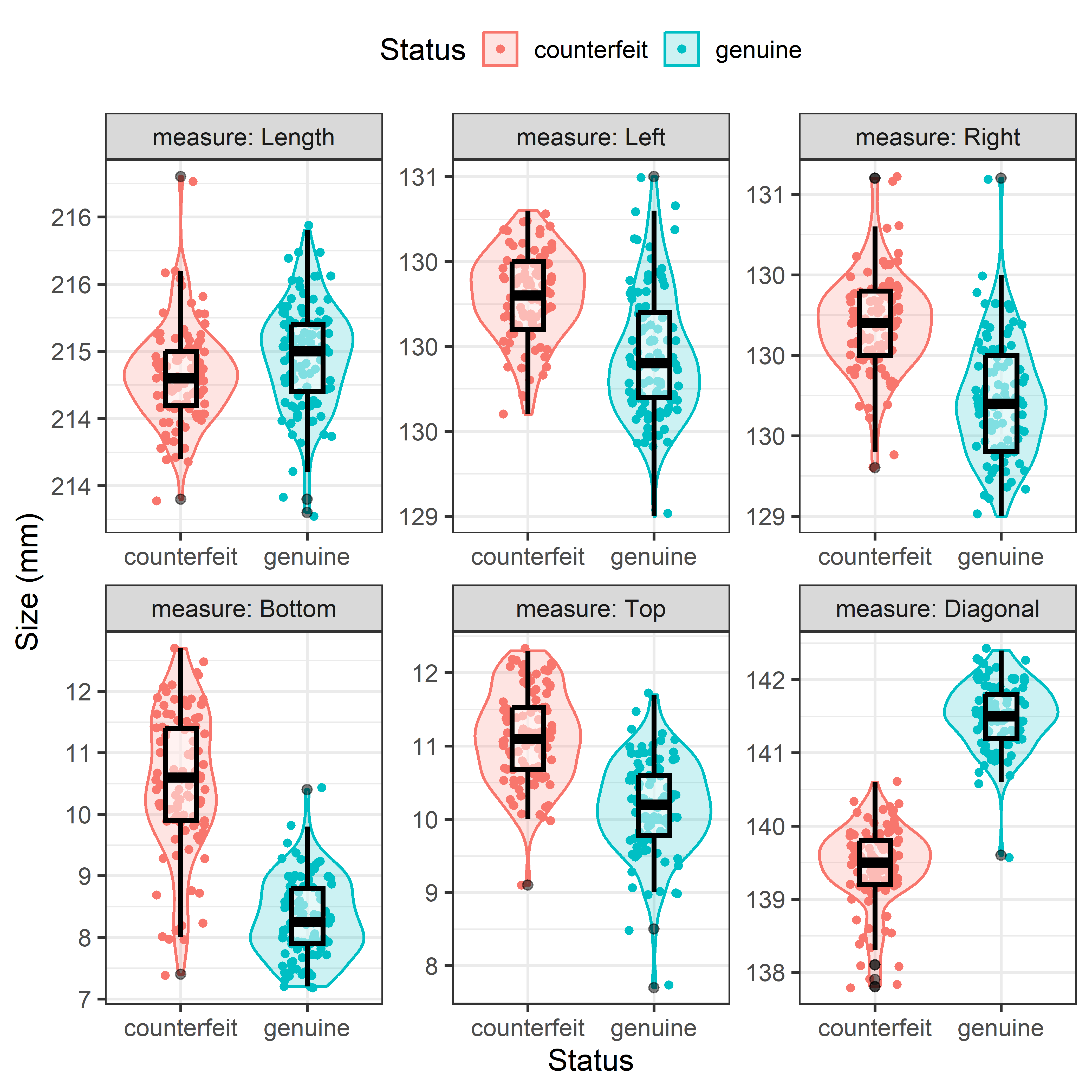
A classic example is the dataset mclust::banknote, containing six size measures made on 100 genuine and 100 counterfeit old-Swiss 1000-franc bank notes (Flury & Riedwyl, 1988). The goal is to see how well the real and fake banknotes can be distinguished. The measures are the Length and Diagonal lengths of a banknote and the Left, Right, Top and Bottom edge margins in mm.

Before considering hypothesis tests, let’s look at some exploratory graphics. Figure 10.7 shows univariate violin and boxplots of each of the measures. To make this plot, faceted by measure, I first reshape the data from wide to long and make measure a factor with levels in the order of the variables in the data set.

data(banknote, package= "mclust")
banknote |>
  tidyr::gather(key = "measure", 
                value = "Size", 
                Length:Diagonal) |> 
  mutate(measure = factor(measure, 
                          levels = c(names(banknote)[-1]))) |> 

  ggplot(aes(x = Status, y = Size, color = Status)) +
  geom_violin(aes(fill = Status), alpha = 0.2) +           # (1)
  geom_jitter(width = .2, size = 1.2) +                    # (2)
  geom_boxplot(width = 0.25,                               # (3)
               linewidth = 1.1, 
               color = "black", 
               alpha = 0.5) +
  labs(y = "Size (mm)") +
  facet_wrap( ~ measure, scales = "free", labeller = label_both) +
  theme_bw(base_size = 14) +
  theme(legend.position = "top")
Figure 10.7: Overlaid violin and boxplots of the banknote variables. The violin plots give a sense of the shapes of the distributions, while the boxplots highlight the center and spread.

A quick glance at Figure 10.7 shows that the counterfeit and genuine bills differ in their means on most of the measures, with the counterfeit ones slightly larger on Left, Right, Bottom and Top margins. But univariate plots don’t give an overall sense of how these variables are related to one another.

Graph craft: Layers and transparency

Figure 10.7 is somewhat complex, so it is useful to understand the steps needed to make this figure show what I wanted. The plot in each panel contains three layers noted by comments in the code:

  1. the violin plot based on a density estimate, showing the shape of each distribution;
  2. the data points, but they are jittered horizontally using geom_jiter() because otherwise they would all overlap on the X axis;
  3. the boxplot, showing the center (median) and spread (IQR) of each distribution.

In composing graphs with layers, plotting order matters, and also does the alpha transparency, because each layer adds data ink on top of earlier ones. I plotted these in the order shown because I wanted the violin plot to provide the background, and the boxplot to show a simple univariate summary, not obscured by the other layers. The alpha values allow the data ink to be blended for each layer, and in this case, alpha = 0.5 for the boxplot let the earlier layers show through.

10.5.1 Biplots

Multivariate relations among these six variables could be explored in data space using scatterplots or other methods, but I turn to my trusty multivariate juicer, a PCA and biplot, to give a 2D summary. This differs from the analysis above in that it does not take the Status grouping into account.

Two dimensions account for 70% of the total variance of all the banknotes, while three would give 85%.

banknote.pca <- prcomp(banknote[, -1], scale = TRUE)
summary(banknote.pca)
# Importance of components:
#                          PC1   PC2   PC3   PC4    PC5    PC6
# Standard deviation     1.716 1.131 0.932 0.671 0.5183 0.4346
# Proportion of Variance 0.491 0.213 0.145 0.075 0.0448 0.0315
# Cumulative Proportion  0.491 0.704 0.849 0.924 0.9685 1.0000

The biplot in Figure 10.8 gives a nicely coherent overview, at least in two dimensions. The first component shows the positive correlations among the measures of the margins, where the counterfeit bills are larger than the real ones and a negative correlation of the Diagonal with the other measures. The length of bills only distinguishes the types of banknotes on the second dimension.

banknote.pca <- ggbiplot::reflect(banknote.pca)
ggbiplot(banknote.pca,
   obs.scale = 1, var.scale = 1,
   groups = banknote$Status,
   ellipse = TRUE, 
   ellipse.level = 0.5, 
   ellipse.alpha = 0.1, 
   ellipse.linewidth = 0,
   varname.size = 4,
   varname.color = "black") +
  labs(fill = "Status", 
       color = "Status") +
  theme_minimal(base_size = 14) +
  theme(legend.position = 'top')
Figure 10.8: Biplot of the banknote variables, showing how the size measurements are related to each other. The points and data ellipses for the component scores are colored by Status, showing how the counterfeit and genuine bills are distinguished by these measures.

10.5.2 Testing mean differences

As noted above, Hotelling’s \(T^2\) is equivalent to a one-way MANOVA, fitting the size measures to the Status of the banknotes. Anova() reports only the \(F\)-statistic based on Pillai’s trace criterion.

banknote.mlm <- lm(cbind(Length, Left, Right, Bottom, Top, Diagonal) ~ Status,
                    data = banknote)
Anova(banknote.mlm)
# 
# Type II MANOVA Tests: Pillai test statistic
#        Df test stat approx F num Df den Df Pr(>F)    
# Status  1     0.924      392      6    193 <2e-16 ***
# ---
# Signif. codes:  0 '***' 0.001 '**' 0.01 '*' 0.05 '.' 0.1 ' ' 1

You can see all the multivariate test statistics with the summary() method for "Anova.mlm" objects. With two groups, and hence a 1 df test, these all translate into identical \(F\)-statistics.

summary(Anova(banknote.mlm)) |> 
  print(SSP = FALSE)
# 
# Type II MANOVA Tests:
# 
# ------------------------------------------
#  
# Term: Status 
# 
# Multivariate Tests: Status
#                  Df test stat approx F num Df den Df Pr(>F)    
# Pillai            1      0.92      392      6    193 <2e-16 ***
# Wilks             1      0.08      392      6    193 <2e-16 ***
# Hotelling-Lawley  1     12.18      392      6    193 <2e-16 ***
# Roy               1     12.18      392      6    193 <2e-16 ***
# ---
# Signif. codes:  0 '***' 0.001 '**' 0.01 '*' 0.05 '.' 0.1 ' ' 1

If you wish, you can extract the univariate \(t\)-tests or equivalent \(F = t^2\) statistics from the "mlm" object using broom::tidy.mlm().3 What is given as the estimate is the difference in the mean for the genuine banknotes relative to the counterfeit ones.

broom::tidy(banknote.mlm) |> 
  filter(term != "(Intercept)") |>
  select(-term) |>
  rename(t = statistic) |>
  mutate(F = t^2) |>
  relocate(F, .after = t)
# # A tibble: 6 × 6
#   response estimate std.error      t      F  p.value
#   <chr>       <dbl>     <dbl>  <dbl>  <dbl>    <dbl>
# 1 Length      0.146    0.0524   2.79   7.77 5.82e- 3
# 2 Left       -0.357    0.0445  -8.03  64.5  8.50e-14
# 3 Right      -0.473    0.0464 -10.2  104.   6.84e-20
# 4 Bottom     -2.22     0.130  -17.1  292.   7.78e-41
# 5 Top        -0.965    0.0909 -10.6  113.   3.85e-21
# 6 Diagonal    2.07     0.0715  28.9  836.   5.35e-73

The individual \(F_{(1, 198)}\) statistics can be compared to the \(F_{(6, 193)} = 392\) value for the overall multivariate test. While all of the individual tests are highly significant, the average of the univariate \(F\)s is only 236. The multivariate test gains power by taking the correlations of the size measures into account.

10.6 Variance accounted for: \(\eta^2\)

In a univariate multiple regression model, the coefficient of determination \(R^2 = \text{SS}_H / \text{SS}_\text{Total}\) gives the proportion of variance accounted for by hypothesized terms in \(H\) relative to the total variance. An analog for ANOVA-type models with categorical, group factors as predictors is \(\eta^2\) (Pearson, 1903), defined as:

\[ \eta^2 = \frac{\text{SS}_\text{Between groups}}{\text{SS}_\text{Total}} \:\: . \]

For multivariate response models, the generalization of \(\eta^2\) uses multivariate analogs of these sums of squares, \(\mathbf{Q}_H\) and \(\mathbf{Q}_T = \mathbf{Q}_H + \mathbf{Q}_E\). In larger designs, there are different calculations for a single measure corresponding to the various test statistics (Wilks’ \(\Lambda\), etc.), as described in Chapter 11.

Let’s calculate the \(\eta^2\) for the multivariate model banknote.mlm with Status as the only predictor. The function heplots::etasq() gives \(\eta^2 = 0.92\), or 92% of the total variance.4

heplots::etasq(banknote.mlm)
#        eta^2
# Status 0.924

This can be compared to the principal components analysis and the biplot in Figure 10.8, where two components (less favorably) accounted for 70% of total variance and it took four PCA dimensions to account for over 90%.

The goals of PCA and MANOVA are different, of course, but they are both concerned with accounting for variance of multivariate data. We will meet another multivariate juicer, canonical discriminant analysis in Chapter 12.

10.7 The Grand Scheme

Figure 10.9 summarizes what was shown in Section 10.3 and Section 10.4. The data ellipses for the two groups in the mathscore data summarize the information about means and within-group variances. In the HE plot, the difference between the means is itself summarized by the line through them, which represents the \(\mathbf{H} =\mathbf{Q}_H\) matrix and within-group variation is represented by the “Error” ellipse which is the \(\mathbf{E} = \mathbf{S}_p = \mathbf{Q}_E\) matrix.

Figure 10.9: The Hypothesis Error plot framework for a two-group design. Above: Data ellipses can be summarized in an HE plot showing the pooled within-group error (\(\mathbf{E}\)) ellipse and the \(\mathbf{H}\) ‘ellipse’ for the group means. Below: Observations projected on the line joining the means give discriminant scores which correpond to a one-dimensional canonical space, represented by a boxplot of their scores and arrows reflecting the variable weights.

As we will see later (Chapter 12), the \(\mathbf{H}\) ellipse is scaled so that it provides a visual test of significance: it projects somewhere outside the \(\mathbf{E}\) ellipse if and only if the means differ significantly.

The direction of the line between the means is also the discriminant axis. Scores on this axis are shown in Figure 10.9 as the projection of the points on the line joining the group means. These are the weighted sum of the responses that have the greatest possible mean difference. A plot of these scores using boxplots, together with vectors for the variable weights is shown in the bottom right in Figure 10.9. I call this “Canonical space”, described more generally in Section 12.7.

10.8 What have we learned?

This chapter introduced Hotelling’s \(T^2\) as the gateway to understanding multivariate analysis of variance and the HE plot framework for visualizing multivariate tests. Here are the essential takeaways:

  • Hotelling’s \(T^2\) transforms multivariate complexity into univariate clarity. Rather than running separate \(t\)-tests on each variable (with multiple comparison problems), \(T^2\) finds the single linear combination of variables that maximally separates the groups. This elegant approach reduces a \(p\)-dimensional problem to testing differences on one optimally-weighted composite variable.

  • The geometric interpretation reveals the statistical essence. \(T^2\) is simply the squared Mahalanobis distance between group means, scaled by sample size. This geometric view helps us understand why \(T^2\) can detect significant differences even when individual variables show weak or non-significant effects —the groups may be well-separated along some direction in the \(p\)-dimensional multivariate space.

  • HE plots provide visual hypothesis testing. The key insight is that all information needed for multivariate tests can be captured in two data ellipses: the \(\mathbf{H}\) ellipse (representing group differences) and the \(\mathbf{E}\) ellipse (representing within-group variation). When the \(\mathbf{H}\) ellipse projects outside the \(\mathbf{E}\) ellipse, the test is significant—making statistical significance immediately visible.

  • The discriminant axis is the line of maximum separation. The direction connecting group means in an HE plot is the axis that achieves the maximum possible univariate \(t^2\). This direction shows exactly how the variables combine to best distinguish between groups, providing both statistical power and interpretive insight.

  • Multivariate tests gain power through correlation structure. While individual variables might show modest effects, the multivariate test leverages the correlations among variables to accumulate evidence. As we saw with the banknote data, the average univariate F was 236, but the multivariate F reached 392 by exploiting the relationships among the six size measures.

  • This framework scales directly to more complex designs. Though we focused on two-group comparisons, the HE plot approach extends naturally to full MANOVA and regression designs with multiple factors and interactions. The visual principles remain the same: hypothesis effects as ellipses, error as ellipses, and significance determined by their relative sizes and positions.

10.9 Exercises

Exercise 10.1 The value of Hotelling’s \(T^2\) found by hotelling.test() is 64.17. The value of the equivalent \(F\) statistic found by Anova() is 28.9. Verify that Equation 10.4 gives this result.


  1. An exact test in statistics is a hypothesis test a gives a true, accurate significance level (\(p\)-value) without relying on approximations or large-sample assumptions. For example, the complete sampling distribution of the statistic \(t = (\bar{x}_1 - \bar{x}_2) / s_p\) for a two-sample \(t\) test can be generated in a permutation test that generates all possible random assignments of \(n_1\) and \(n_2\) observations to the two groups. This trades computation for the use of any assumptions.↩︎

  2. One important difference between MANOVA and linear discriminant analysis (LDA) is the role of prior probabilities of the groups in the latter. LDA treats this as a decision problem, so prior weights for the groups effectively shift the decision boundary or classification threshold. If one group is more common, its prior probability will be higher, making it “easier” for a new observation to be classified into that group.↩︎

  3. The function heplots::uniStats() does this more compactly and displays the \(R^2\) and \(F\) statistics for each response variable.↩︎

  4. heplots::etasq calculates overall \(\eta^2\), across all response variables, for each term in a MLM. You can obtain these values for each of the response variables separately using effectsize::eta_squared().↩︎